健康养殖新风口:饲料管理的精细化 “粒度” 革命

2024年,农业农村部印发《饲用豆粕减量替代三年行动方案》,聚焦“提质提效、开源增料”,推行提效、开源、调结构等综合措施。通过强化饲料新产品、新技术、新工艺集成创新和推广应用,引导饲料养殖行业科学减少豆粕用量,促进饲料粮节约降耗。


2024 年我国累计进口粮食 1.58 亿吨。其中大豆进口超1亿吨,占到粮食进口总量的 66%,主要用于发展养殖业的饲料。据相关信息,2024年饲料成本在养猪业成本中占比约 65%。提高农产品的生物利用率,从而减少粮食消耗,与此同时减少不良粒径组分对牲畜的健康风险,对降低养殖成本的行业现代化精细化管理大有裨益。



图片
图片




与谷物粮食的生物利用率有关的因素包括畜禽的种质,饲养方式,饲料配方组成等等。饲料中多种原料的颗粒的尺寸控制亦是其中一个重要环节。激光粒度仪作为传统筛分的高效替代解决方案,以其测试范围宽广、分析速度快、结果准确且受操作者影响小、重现性好、需要样品量少等优点,在饲料配方开发中的应用日益普及开来。


饲料粒度如何影响饲料效率和养分利用?通过增加单位饲料体积的总表面积,达到最佳饲料颗粒尺寸将提高养分的消化率。其原理是消化酶可作用于饲料中的营养物质更多的表面积,因此畜禽的消化系统会更好地消化饲料。蛋白质、能量和其他营养物质的消化率一般随着饲料颗粒尺寸的优化而提高,提高消化率一般能提高饲料转化率。同时,达到最佳粒径配比可以影响饲料混合的均匀性,并减少向动物输送饲料时出现的营养成份分离。如果在饲料的生产过程中没有采取适当的颗粒粒径分布质控措施,提供均衡饮食的好处可能会丧失。




图片




有研究表明1,不同粒径的玉米和高粱在生猪养殖的一个阶段(初始7~8kg养至23kg)单位重量产出的饲料的消耗量与饲料研磨粒径有关,如下图。粒径越大,养殖利用效率越低。每超过最佳值100微米,每头猪的饲料成本将增加约14元。如果生产商将饲料粒度从1000微米到700微米,每头猪养殖在该阶段可节省约40元。




图片




当然,饲料的粒度也并不是越细越好,一方面太细的研磨或碾碎会增加能源消耗,另一方面饲料颗粒过细会增加贮藏和喂食器设计的难度,甚至还可能增加育肥猪的溃疡发病率及呼吸困难。相比传统的筛网,激光粒度仪可以快速且精准地分析饲料尺寸,对于多种不同类型饲料研磨加工的多工艺参数调整提供及时的指导,不仅可以提供颗粒尺寸的整体信息,还可以提供不同粒径上的颗粒含量信息(与饲料的混匀性相关),从而提高饲料品质。


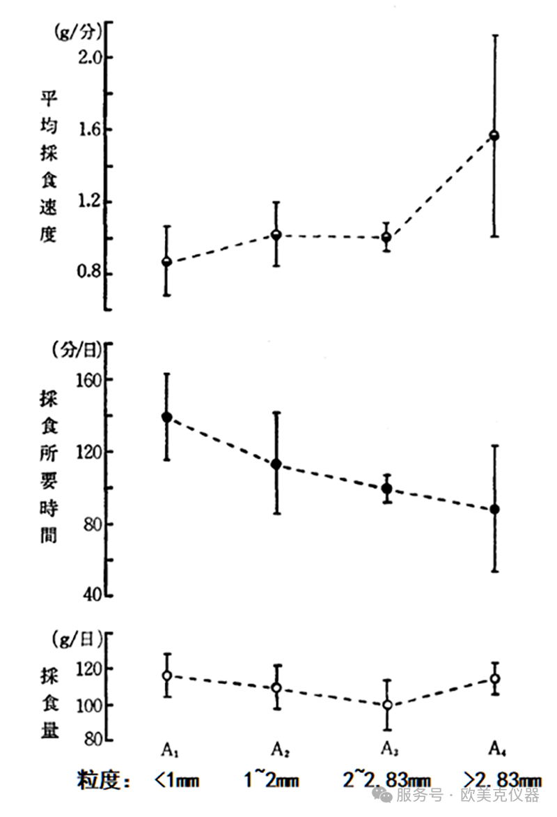
除此以外,有研究2指出,饲料的粒径不仅与畜禽的采食量、料重比及健康有关,也直接影响到畜禽的采食速度。如下图所示,在该研究中,鸡饲料的粒径在2~2.83mm显示出最佳的料重比,同时粒径越小,鸡的采食时间越长,采食速度越慢。




图片




除此以外,畜禽饲养中使用到的必不可少的各种营养添加剂和药品,例如碳酸钙粉、膨润土粉、海泡石粉、脱脂骨粉、花生壳粉等,其中粒径分布与有效成份的生物利用度和代谢时间都是息息相关的。


bb贝博Topsizer Plus激光粒度仪引入了国际先进的光学设计,结合bb贝博三十余年的技术积累,采用全球化的供应链体系,保持了Topsizer量程宽、重复性好、分辨力高、真实测试性能强和智能化程度高等优点,拥有0.01~3600um超宽广范围内快速准确的饲料颗粒粒径分析能力,正在为我国饲料用粮食的减量增效提供应有的贡献。





参考文献:

1. Ohh S.J., Allee G., Behnke K.C., Deyoe C.W. Effect of particle size of corn and sorghum grain on performance and digestibility of nutrients for weaned pigs. Journal of Animal Science. 57:260

2. 田中智夫等。鶏の採食行動に及ぼす飼料粒度の影響。家畜の管理

3. https://www.sohu.com/a/456221289_120122479



XML 地图